基本情報技術者試験の過去問と解説
[TOP] [午前分野別] [午後分野別] [キーワード索引] [令和元年秋午前] [令和元年秋午後]

令和元年 秋期 基本情報技術者 午前 問04
問04   a及びbを定数とする関数

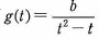
 a 及び b を定数とする関数 及び に対して, はどれか。 ここで,≠0,≠0,>1とする。

  ア   0          イ   1           ウ              エ   ∞       

解答←クリックすると正解が表示されます

解説

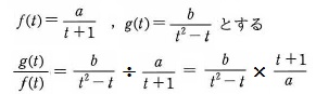
 問題の式を以下のように変形することができる。

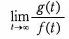
 ここで、t の値が限りなく大きくなると、分母が大きくなるので0に近い値になる。

[←前の問題] [次の問題→] [問題一覧表] [分野別] [キーワード索引] [基本情報技術者試験TOP ]
©2004-2025 情報処理試験.jp |  プライバシーポリシー・著作権・リンクお問合わせ