令和元年 秋期 基本情報技術者 午前 問03
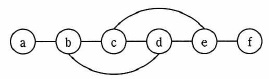
問03 隣接行列ノードとノードの間のエッジの有無を,隣接行列を用いて表す。 ある無向グラフの隣接行列が次の場合,グラフで表現したものはどれか。 ここで,ノードを隣接行列の行と列に対応させて,ノード間にエッジが存在する場合は1で, エッジが存在しない場合は0で示す。 ![]() ![]()
イ
ウ
エ
解説
[←前の問題] [次の問題→] [問題一覧表] [分野別] [キーワード索引] [基本情報技術者試験TOP ]
©2004-2025 情報処理試験.jp
|
プライバシーポリシー・著作権・リンク
|
お問合わせ
| |
