基本情報技術者試験の過去問と解説
[TOP] [午前分野別] [午後分野別] [キーワード索引] [令和元年秋午前] [令和元年秋午後]

平成24年 秋期 基本情報技術者 午前 問07
問07   再起呼び出しによる階乗の計算

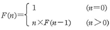
 n! の値を,次の関数 F(n) によって計算する。乗算の回数を表す式はどれか。

ア n−1      イ n       ウ 2       エ n!
解答←クリックすると正解が表示されます

解説

 再起呼び出しによる階乗の計算である。たとえば、5! を求める場合、 4! に5を掛けて計算する。4! は、3! に4を掛ける。よって、乗算の回数は、nである。

[←前の問題] [次の問題→] [問題一覧表] [分野別] [キーワード索引] [基本情報技術者試験TOP ]
©2004-2025 情報処理試験.jp |  プライバシーポリシー・著作権・リンクお問合わせ