平成23年 秋期 基本情報技術者 午後 問08
問08 必須問題次のプログラムの説明及びプログラムを読んで,設問1,2に答えよ。 1行の代入文を解析し,演算の優先順位に従って一つずつ演算を行っていく一連の代入文に変換して出力する。 代入文とその出力結果の例を,次に示す。ここで,出力結果にある wk#1 などは,中間結果を保存するための 作業変数である。
(代入文の例) (出力結果の例)
Ans=X1+10*X2 wk#1=10*X2
wk#2=X1+wk#1
Ans=wk#2
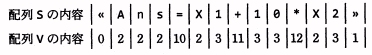
代入文の形式は,次のとおりである。 変数=式 "=" は代入演算子で,右辺の式の値を評価した結果を,左辺の変数に代入する。 式は,変数又は定数(以下,項という)の一つ以上の並びで,項が二つ以上のときは各項の間に算術演算子を置く。 変数は,英字(“A”〜“Z”,“a”〜“z”)で始まる1文字以上の英数字の列である。定数は,1文字以上の 数字(“0”〜“9”)の列である。 算術演算子は,加算(“+”),減算(“-”),乗算(“*”),除算(“/”)の4種類である。 乗除算は加減算に優先する。同一優先順位の算術演算子は,左から順に演算する。 [代入文の構文解析] 解析処理は,次の手順による。 (1) 代入文を走査して,英字・数字・代入演算子・算術演算子以外の文字が含まれていれば,err に−1 を 格納して手順 (5) へ進む。err は,文法上の誤りがあった場合のエラーコードを格納する変数である。 (2) n 文字からなる代入文を,文字型配列 S の要素番号 1 〜 n に格納し,S[0] に開始マーク“《”を, S[n+1] に終端マーク“》”を,それぞれ格納する。次に,整数型配列 V を用意し,S[i] の内容に対応した 表1のコードを V[i] に格納する。その例を,次に示す。
表1 文字とコードの対応
(3) 初期値として st に“開始”を,err 及び i に 0 を,それぞれ格納する。st は,解析の状態を格納している 変数である。 (4) i に 1 を加算する。表2で,現在の st の状態(行)と着目している文字 S[i] の内容(列)が交差する セルの内容を実行する。ただし,セルが空白の場合は,何も実行しない。実行の結果,err の値が 0 以外と なったら手順 (5) へ,st の値が“終端”となったら手順 (6) へそれぞれ進む。それ以外の場合は, この手順 (4) を繰り返す。
(6) 文法上の誤りがなかった旨を表示し,処理を終了する。
設問1 [代入文の構文解析]に関する次の記述中の 文法上の誤りがある次の代入文@〜Cを解析処理に手順によって解析した。
代入文@ Answer=One+Two+Three+ 代入文A HexaSum=7FFF+0001 代入文B Position=Index++ 代入文C X1+10*X2=Ans
解析処理手順 (5) に進んだとき, 解答群
ウ 代入文B エ 代入文C
[代入文の変換] 変換処理は,次の手順による。[代入文の構文解析]の手順は実行済みで,代入文には文法上の誤りがないものとする。 (1) 初期値として,w に 0 を格納する。 (2) 配列 S, V の開始マークから終端マークまでの範囲を検査し,優先順位が最も高い最初の算術演算子の 要素番号を変数 next に格納する。その例を,次に示す。算術演算子がなければ,next に 0 を格納する。
(3) next が 0 なら,配列 S 中の代入文を出力して,処理を終了する。 (4) next の位置の演算子とその前後の項からなる文字列を抜き出す(図1の@)。w に1を加算し, 出力する代入文を編集して出力する。出力する代入文は,文字列“wk#”,文字列に変換した値 w, 文字“=”及び抜き出した文字列をこの順に連結したものである。 次に,配列 S について,抜き出した元の文字列を,文字列“wk#”及び文字列に変換した値 w で置き換える(図1のA)。 置き換えるときに,文字数が増える場合は以降の文字を後ろにずらし,減る場合は以降の文字を前に詰める。 さらに,更新された配列 S の内容に応じて配列 V の内容を更新する。文字“#”に対応するコードは, 英字のコードと同じとする。 ![]() 図1 文字列の置換の例
設問2 [代入文の変換]に関する次のプログラム中及び記述中の なお,プログラム中の関数 Getpos(配列,値)は,値が格納されている配列中の最初の要素番号を返す。 また,配列 S, V は大域変数として与えられ,副プログラム中から参照できるものとする。 (1) 手順 (2) の処理を行う2種類の副プログラム1,2を作成した。
プログラム1の α の行では,i に1を格納している。
ここで,αの行を“ i ← (2) 手順 (4) の処理中で使用する副プログラム3を作成した。このプログラムは,配列 S, V の 要素番号 from 以降(終端マークまで)の要素を前後に移動する。move は,移動する桁数と方向を示し, 符号が正の場合は後ろにずらし,符号が負の場合は前に詰める。move の値が−3 (左に3桁詰める) の場合の例を,次に示す。ここで,配列 S, V は十分な大きさがあるものとする。
〔副プログラム3〕
c,d に関する解答群
ウ priority ≧ V[i] エ priority > V[i] e に関する解答群
ウ Getpos(S[], "=") − 1 エ Getpos(S[], "=") + 2 f,g に関する解答群
ウ to, i ≧ from,−1 エ to, i > from,−1
[←前の問題] [次の問題→] [問題一覧表] [分野別] [基本情報技術者試験TOP ]
©2004-2025 情報処理試験.jp
|
プライバシーポリシー・著作権・リンク
|
お問合わせ
|
