基本情報技術者試験の過去問と解説
[TOP] [午前分野別] [午後分野別] [キーワード索引] [令和元年秋午前] [令和元年秋午後]

平成23年 秋期 基本情報技術者 午前 問51
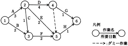
問51   アローダイアグラムで表されるプロジェクト

 次のアローダイアグラムで表されるプロジェクトがある。結合点5の最早結合点時刻は第何日か。

ア 4       イ 5       ウ 6       エ 7
解答←クリックすると正解が表示されます

解説

 クリティカルパスは、PERT 図を用いて、最遅開始日から最早開始日を引いて、 余裕期間がゼロの作業を結んだものである。クリティカルパスによって、 プロジェクト全体の遅れに直結する作業を把握することができる。

@→A→C→D:3+4+0=7日

@→A→D:3+2=5日

@→A→B→D:3+1+2=6日

@→B→D:2+2=4日


[←前の問題] [次の問題→] [問題一覧表] [分野別] [キーワード索引] [基本情報技術者試験TOP ]
©2004-2025 情報処理試験.jp |  プライバシーポリシー・著作権・リンクお問合わせ