令和元年 秋期 基本情報技術者 午前 問47
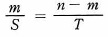
問47 エラー埋込み法エラー埋込み法において,埋め込まれたエラー数を S,埋め込まれたエラーのうち発見されたエラー数を m, 埋め込まれたエラーを含まないテスト開始前の潜在エラー数を T,発見された総エラー数を n としたとき, S,T,m,n の関係を表す式はどれか。
イ ![]()
ウ 解説
[←前の問題] [次の問題→] [問題一覧表] [分野別] [キーワード索引] [基本情報技術者試験TOP ]
©2004-2025 情報処理試験.jp
|
プライバシーポリシー・著作権・リンク
|
お問合わせ
| |
