基本情報技術者試験の過去問と解説
[TOP] [午前分野別] [午後分野別] [キーワード索引] [令和元年秋午前] [令和元年秋午後]

令和元年 秋期 基本情報技術者 午前 問45
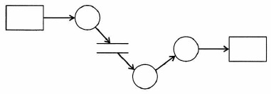
問45   DFDの図の名称

 図は構造化分析法で用いられる DFD の例である。図中の“○”が表しているものはどれか。

ア アクティビティ        イ データストア

ウ データフロー        エ プロセス


解答←クリックすると正解が表示されます

解説

 DFD (データフローダイアグラム)とは、システムの要求定義を行うときに使用される図表の1つで、 機能を幾つかの単位に分割した後に、単位間のデータの流れ(データがどこから来て、 どこでどの様に処理され、どこへ行くか)に着眼点を置き、図式化する方法である。

【平成18年秋 問39】

【平成22年春 問45】


[←前の問題] [次の問題→] [問題一覧表] [分野別] [キーワード索引] [基本情報技術者試験TOP ]
©2004-2025 情報処理試験.jp |  プライバシーポリシー・著作権・リンクお問合わせ